Repos

The Repos (repositories) store the streaming logs securely. A single repo consists of one or more repo-paths with their respective retention policies. The retainment of the logs in the repos depend on the policies set. The number displayed under Retention (days) is the cumulative number of days for all the repo-paths associated with the repo.

../_images/LP_Config_Repos_List.png

Repos

Warning

Make sure that you only select the appropriate repos while configuring a new dashboard.

High-Availability Repos

You can replicate a repo of one Logpoint to a repo of one of its Distributed Logpoints in real time. These repos are known as High Availability (HA) Repos. You can use the HA Repos to access the logs even when one of the Logpoint instances (or repos) is not available.

The HA repos replicate the logs in one Logpoint to many Logpoint machines. This replication prevents the unavailability of logs in any one Logpoint.

Note

The logs already present in the Logpoint are not replicated. Only the logs ingested after configuring HA repos are replicated.

../_images/Ha2.png

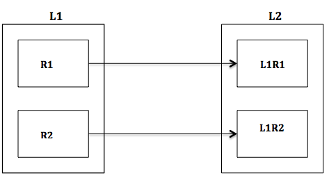
HA in Logpoint

On the figure above, the repos R1 and R2 belong to Logpoint L1. When you add Logpoint L2 as the Remote Logpoint of L1 and configure them for high availability, the system replicates the repos of L1 to their corresponding repos in L2. The logs ingested after this configuration are stored in both the repos. If you configure HA Repo for R1 and R2, their relevant HA repos L1R1 and L1R2 are replicated in Logpoint L2.

Adding a Repo / HA Configuration

  1. Go to Settings >> Configuration from the navigation bar and click Repos.

../_images/LP_Config_Repos_List_Add.png

Repos

  1. Click Add.

../_images/LP_Config_Repos_AddPanel.png

Adding Repos

  1. In REPO INFORMATION, enter a Repo Name. Select a Repo Path and the preferred Retention (day) period.

    • The length of the Repo Name must be less than 29 characters.

    • The number of Retention (day) must be greater than two.

    • Click the plus icon to add another repo path. The objective of having multiple storage paths is to transfer the older logs to secondary storages so that the primary storage always has enough space for the newer logs.

      If you define two repo-paths for a repo as /opt/immune/storage and /opt/immune/storage1, and select the Retention (day) as five days and 15 days respectively, then Logpoint stores the collected logs in the first path for the first five days. Then, they are moved to the second path and stored for fifteen days. The total retention days for the repo is 20 days. After 20 days, the logs are deleted from the database.

      Logpoint checks the retention periods for the repos every day at 1 AM GMT.

    • To add new paths in the Repo Path dropdown, use the repodir add li-admin command.

  2. In Availability, select a Remote Logpoint and a time for Available for (day).

  3. Click Submit.

Note

Click the ? icon near the top-right corner for context-sensitive help.

Exporting Repos

  1. Go to Settings >> Configuration from the navigation bar and click Repos.

  2. Select the repositories to export.

../_images/LP_Config_Repos_List_Export.png

Export Repos

  1. Click Export.

  2. Save the exported pak file.

Note

The exported file contains the repo configuration, i.e., its name, the repo-paths, and the retention policies associated with it.

Importing Repos

  1. Go to Settings >> Configuration from the navigation bar and click Repos.

../_images/LP_Config_Repos_List_Import.png

Import Repos

  1. Click Import and browse the repository file.

  2. Click Upload.

Note

  • If the imported pak file contains an existing repo name, a dialog box appears that allows you to enter the new repo name.

  • You can create HA repos for one Logpoint in only one of its Distributed Logpoint.

  • You can specify the HA repos when creating a repo on the local machine.

  • On the Distributed Logpoint, you can change the base repo-path from the system settings.

Editing a Repo

  1. Go to Settings >> Configuration from the navigation bar and click Repos.

  2. Click the Repo Name of the required repo and update the information. You cannot edit the name of a repo.

../_images/LP_Config_Repos_List_Edit.png

Repos

  1. Click Submit.

Deleting Repos

Before deleting a repo, make sure that it is not in use.

  1. Go to Settings >> Configuration from the navigation bar and click Repos.

  2. Click the Delete icon under Actions.

    ../_images/LP_Config_Repos_List_Delete.png

    Repos

    1. To delete multiple repos, select the repos. Click More and choose Delete Selected.

    ../_images/LP_Config_Repos_List_DeleteSelected.png

    Repos

    1. To delete all the repos, click More and choose Delete All.

    ../_images/LP_Config_Repos_List_DeleteAll.png

    Repos

  3. Click Yes to confirm deletion.


Helpful?

We are glad this guide helped.


Please don't include any personal information in your comment

Contact Support